德钦县红十字会
Red Cross Society of China DEQIN Branch
按标题
按内容
按摘要
按作者
省红十字会
首页
组织信息
组织简介
主要职责
名誉会长
领导机构
机关党建
联系方式
理事会信息
业务活动
应急救援
应急救护
人道救助
造血干细胞捐献
遗体和人体器官捐献
无偿献血
红十字青少年和志愿服务
其他
信息公开
通知公告
预算决算
审计报告
绩效评价
采购信息
政策法规
规章制度
其他
社会捐赠
我要捐赠
捐款公开
捐物公开
资金使用公开
物资发放公开
项目执行公开
机构募捐资格和税收优惠资格
当前位置:
首页
>>
业务活动
>>
人道救助
>>
正文
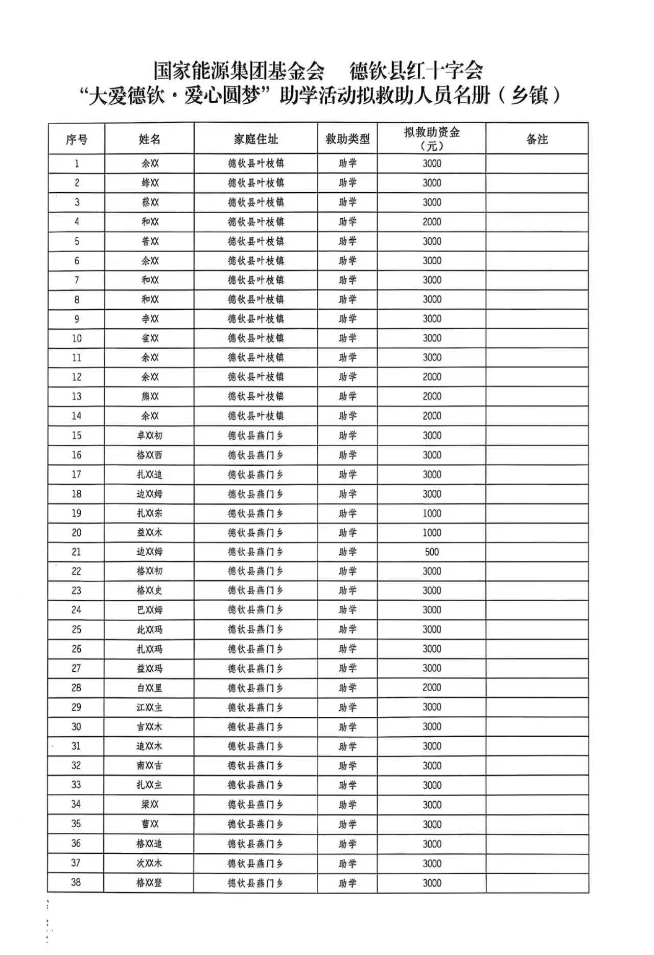
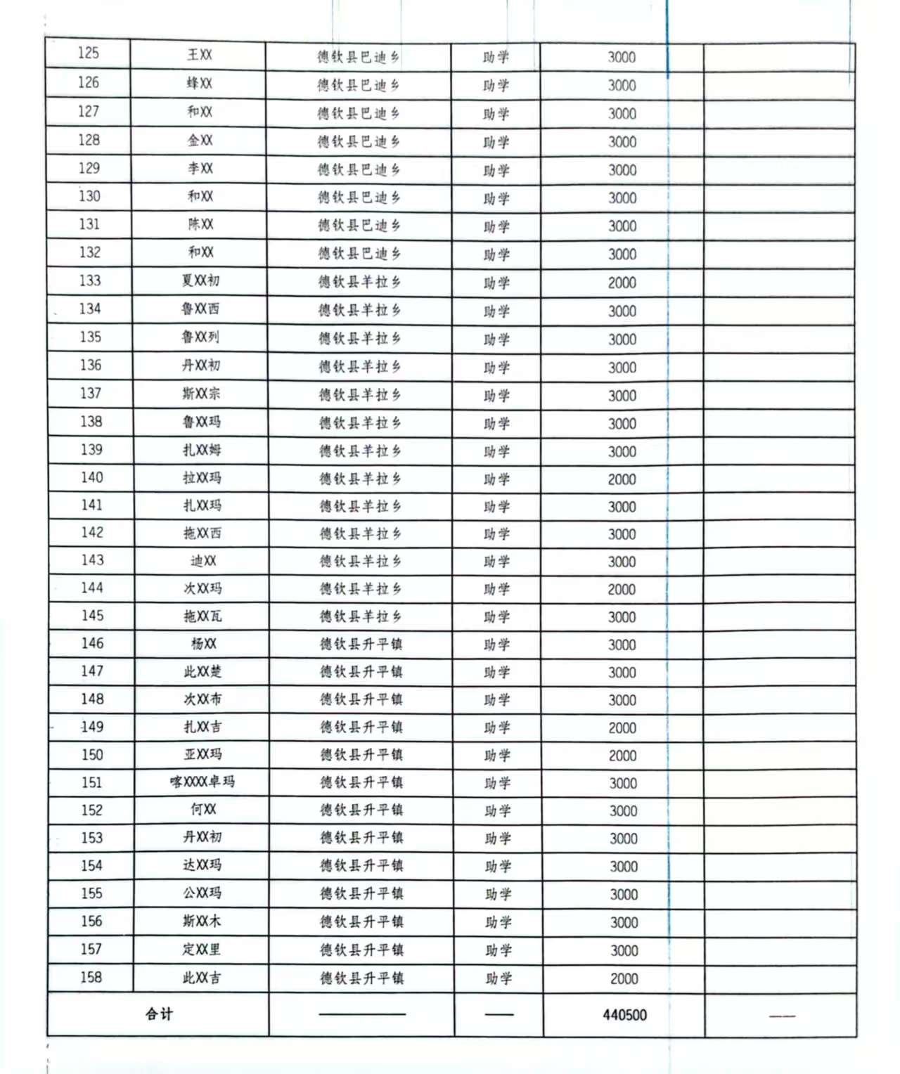
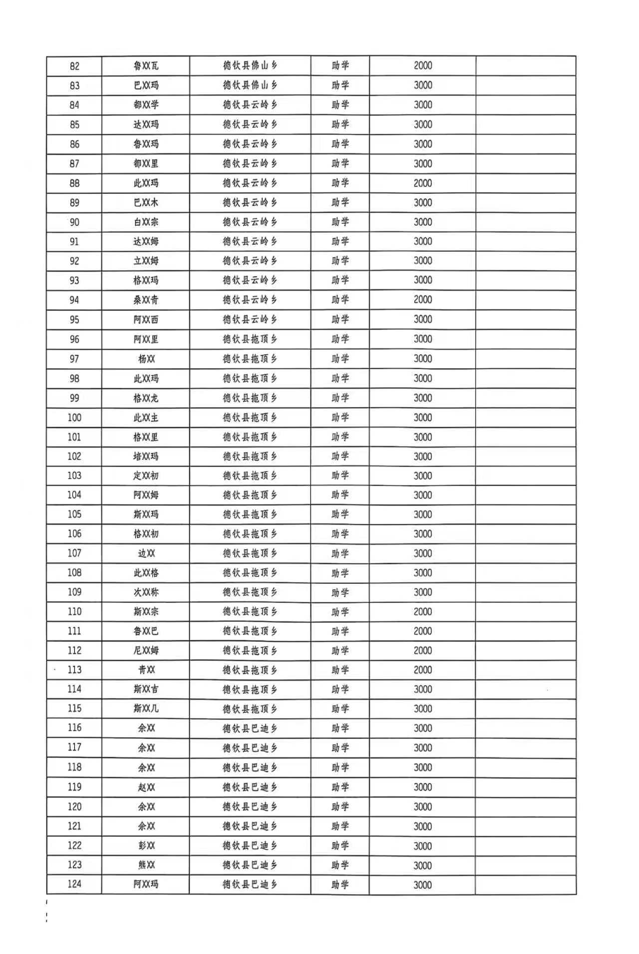
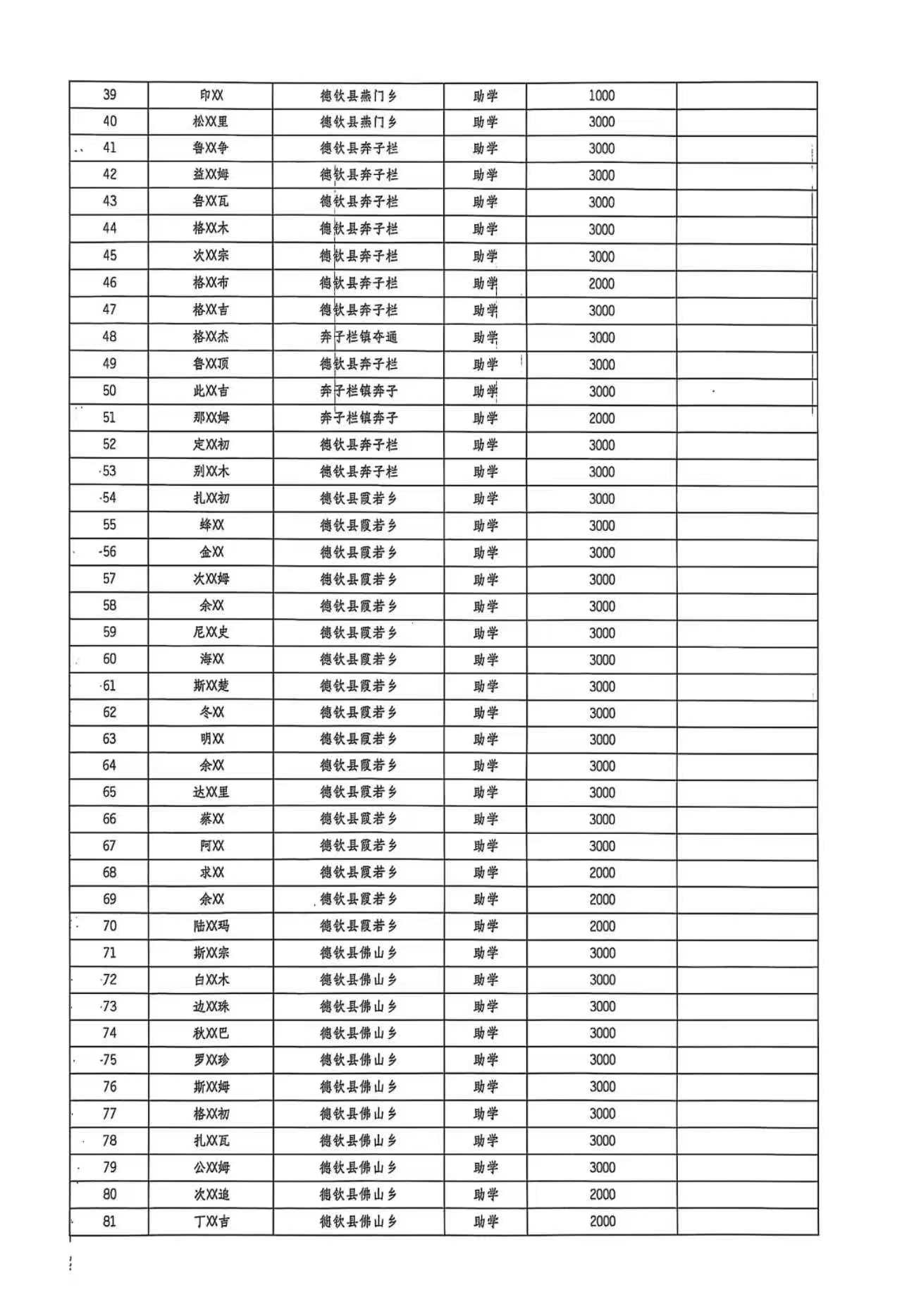
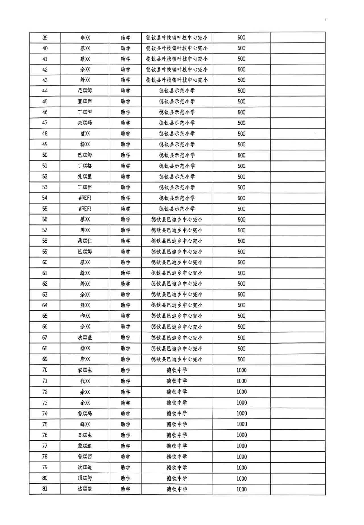
【人道救助】国家能源集团基金会 德钦县红十字会 “大爱德钦·爱心圆梦”助学活动拟救助人员名单公示
来源:
作者:
编辑:
德钦县
日期:
2025-10-24
点击率:
55
[关闭]
摘要:
引题:
关键字:
为弘扬 “人道、博爱、奉献” 的红十字精神,将社会关爱精准传递至困难家庭学子,切实帮助其顺利完成学业,根据《中华人民共和国红十字会法》《中国红十字会章程》《中国红十字会捐赠工作管理办法》《德钦县红十字会人道救助实施办法(试行)》及《国家能源集团基金会 德钦县红十字会 “大爱德钦・爱心圆梦” 助学实施方案》等相关规定,已完成本次助学申请的审核工作。经德钦县红十字会 2025 年第七次会长办公会研究,确定了拟助学救助人员名册。
根据“公开、公平、公正” 原则,为提升工作透明度,确保救助对象精准无误,现将拟助学救助人员名单予以公示,广泛接受社会监督。
公示时间从2025年10月27日起至2025年10月31日为止(国家法定节假日除外)。
监督举报电话:0887—8413862。
举报邮箱:dqxhszh@163.com。
来信来访地址:德钦县红十字会(行政中心五楼)。
同时,欢迎社会各界爱心人士继续关心支持我县慈善事业,用爱心点燃希望。
编辑:德钦县红十字会业务股
初审:德钦县红十字会办公室
二审:杨艳琼
终审:和儒鸿
作者:
编辑:
德钦县
上一篇:
【人道救援】爱心捐赠暖灾区 携手同心建家园
下一篇:
【人道救助】2025年度“大爱德钦·爱心圆梦”救助活动拟救助人员名单公示(第六期)