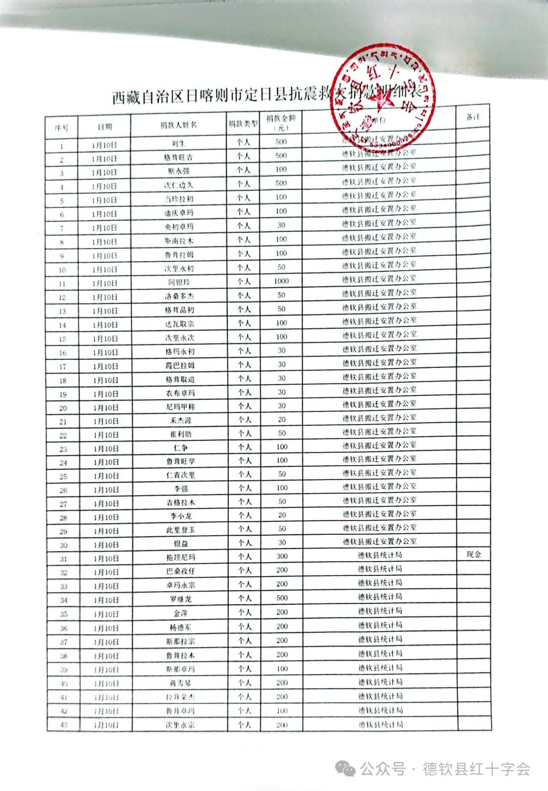
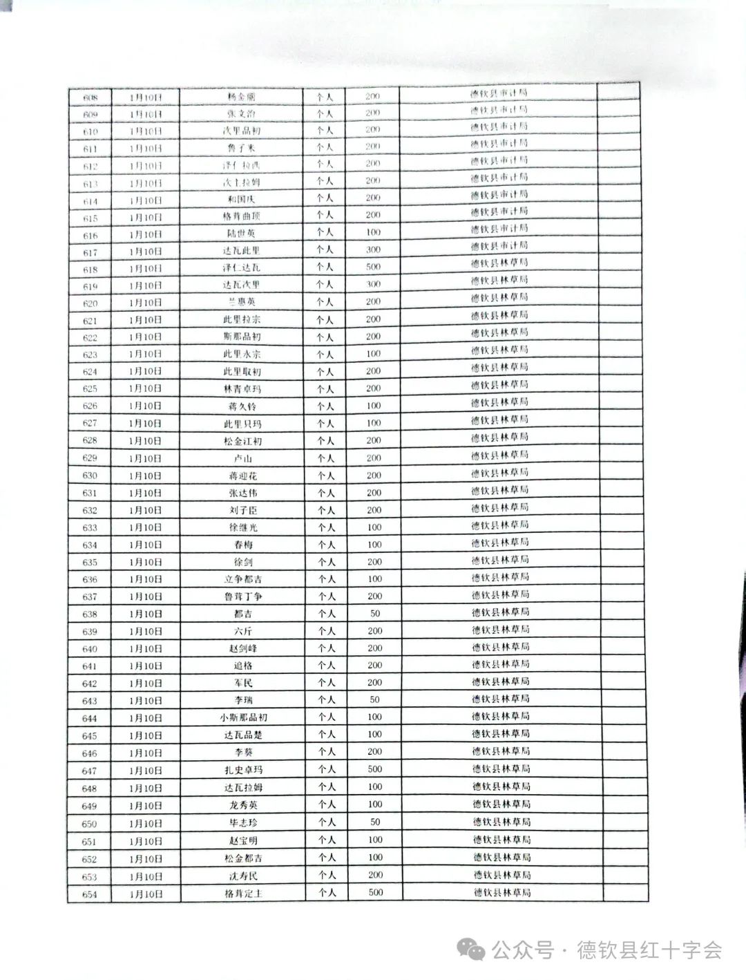
西藏自治区日喀则市定日县抗震救灾捐款情况公示(第二期)
来源: 作者: 编辑:德钦县 日期:2025-01-11 点击率:118 [关闭] 2025 年 1 月 7 日,西藏自治区日喀则市定日县突发 6.8 级地震,造成了重大人员伤亡与财产损失。灾难发生后,德钦县红十字会紧急响应,迅速在全县发起抗震救灾募捐活动。2025 年 1 月 10 日 当天有28家单位,2家爱心企业,共726 名爱心人士参与捐款,募捐资金合计 289030 元。现将所接收的募捐资金进行公示,接受各级各部门及社会各界的监督。 若对以上公示有疑问,请致电德钦县红十字会业务股咨询反馈。附件1:西藏自治区日喀则市定日县抗震救灾捐款汇总表附件2:西藏自治区日喀则市定日县抗震救灾捐款明细表
















